1×9 adjoint(::Vector{Float64}) with eltype Float64:
0.0 0.375 0.75 1.125 1.5 1.875 2.25 2.625 3.0
Module 02: Discrete-Time Methods
EDHEC Business School
Purdue University
January 2026
Discrete-time methods are the natural starting point for dynamic programming.
We illustrate these concepts with a consumption-savings problem
This benchmark problem allows us to illustrate three core computational tasks:
Consider a household deciding how much to consume and save when income is uncertain.
Cash-on-hand evolves according to: \[ M_{t+1} = \color{#0072b2}{\underbrace{R\,(M_t - c_t)}_{\text{return on savings}}} + \color{#d55e00}{\underbrace{Y_{t+1}}_{\text{labor income}}}. \]
The household’s problem is to choose a consumption plan \(\{c_t\}_{t=0}^{T-1}\) that maximizes expected lifetime utility: \[
V_T(M)
= \max_{\{c_t\}_{t=0}^{T-1}}
\mathbb{E}\!\left[
\sum_{t=0}^{T-1} e^{-\rho t}\, u(c_t)
+ e^{-\rho T}\, \color{#009e73}{\underbrace{V_0(M_T)}_{\text{terminal payoff}}}
\right],
\]
subject to the transition equation for cash-on-hand and the stochastic process for labor income, \[
\log Y_{t+1} \sim \mathcal{N}\!\left(- \tfrac{1}{2}\sigma_y^2,\, \sigma_y^2\right),
\] where the normalization ensures that \(\mathbb{E}[Y_t] = 1\).
The recursive problem is given by \[
V_t(M)
= \max_{c}
\left\{
u(c) + e^{-\rho} \mathbb{E}\!\left[ V_{t-1}(M') \right]
\right\},
\]
subject to \[
M' = R (M - c) + Y', \qquad
\log Y' \sim \mathcal{N}\!\left(- \tfrac{1}{2}\sigma_y^2,\, \sigma_y^2\right).
\]
Preferences and terminal payoff are of the constant relative risk aversion (CRRA) form: \[
u(c) = \frac{c^{1-\gamma}}{1-\gamma}, \qquad
V_0(M) = A \frac{M^{1-\gamma}}{1-\gamma}.
\]
where \(\gamma > 0\) is the coefficient of relative risk aversion and \(A > 0\) is a scaling parameter.
Note
The infinite-horizon problem, where \(T \to \infty\), corresponds to the stationary solution of the recursive problem. In this case, the value function satisfies the fixed-point condition \(V_t(M) = V_{t-1}(M) \equiv V(M)\).
The action-value function is given by \[ V_t(M, c) \equiv u(c) + e^{-\rho} \mathbb{E}\!\left[ V_{t-1}(R (M- c) + Y') \right]. \]
Tip
The action-value function corresponds to the value associated with a given action (no maximization step).

Think of \(V_t(M,c)\) as a table
Optimal consumption: \[c_t(M) = \arg\max_{c} V_t(M,c)\]
We can solve the Bellman equation by value function iteration (VFI).
Algorithm: Value Function Iteration (VFI)
Input: Initial guess \(V^{(0)}(M)\), tolerance tol
Output: Value \(V(M)\), policy \(c^*(M)\)
Initialize: \(t \gets 0\)
Repeat until \(\|V^{(t+1)}-V^{(t)}\|_\infty < \texttt{tol}\):
Policy update: \[c_{t+1}(M) \gets \arg\max_{c}\left\{ u(c) + e^{-\rho}\,\mathbb{E}[V_{t}(R(M-c)+Y')] \right\}\]
Value update: \[V_{t+1}(M) \gets u(c_{t+1}(M)) + e^{-\rho}\,\mathbb{E}\left[ V_{t}(R(M-c_{t+1}(M))+Y') \right]\]
\(t \gets t+1\)
Return: \(V^{(t)},\,c^{(t)}\)
There is no known analytical solution to this problem.
To solve the problem numerically, we must overcome three main challenges:
We need to find a way to represent the value function in the computer.
We begin by constructing a finite grid for \(M\): \[ M \in \mathcal{M} = \{M_{1}, M_{2}, \ldots, M_{N}\}. \]
At each point on this grid, we store the corresponding value function as a vector: \[ \mathbf{V}_t = (V_{t,1}, V_{t,2}, \ldots, V_{t,N})^\top, \qquad \text{where } V_{t,i} \equiv V_t(M_i). \]
Similarly, the optimal consumption policy can be represented as a vector: \[ \mathbf{c}_t = (c_{t,1}, c_{t,2}, \ldots, c_{t,N})^\top, \qquad \text{where } c_{t,i} \equiv c_t(M_i). \]
Suppose we start with the initial value function represented on a grid: \(\mathbf{V}_0\).
For \(M \in [M_{i-1}, M_i]\), we assume that \(V_t(M)\) is linear and approximate it as \[ V_t(M) \approx \frac{M - M_{i-1}}{M_i - M_{i-1}}\, V_{t,i} + \frac{M_i - M}{M_i - M_{i-1}}\, V_{t,i-1}. \]
We can implement linear interpolation using the Interpolations.jl package.
The accuracy of a linear interpolation depends on the grid size.

Quality of approximation may not be uniform
Uniform grid can be very inefficient
An alternative is to use a non-uniform grid for the state variable.

A convenient choice is the double-exponential grid
The parameter \(\alpha > 0\) controls the degree of clustering.
We can implement this in Julia as follows:
The second issue we must address is how to compute expectations.
The expectation in the Bellman equation can be written as the integral: \[ \mathbb{E}\!\left[V_{t}(M')\right] = \int_{-\infty}^{\infty} V_t(R(M - c_t(M)) + e^{y'}) \phi(y') d y', \] where \(\phi(y')\) is the probability density function of a normal random variable.
Computing this expectation numerically requires approximating the integral.
The Tauchen method is a common approach to discretize the process for an AR(1) process: \[ z_{t+1} = \mu + \rho_z (z_t - \mu) + \varepsilon_{t+1}, \qquad \varepsilon_{t+1} \sim \mathcal{N}(0, \sigma_\varepsilon^2), \] where \(|\rho_z| < 1\) and \(\sigma_\varepsilon > 0\) (in our case, \(\rho_z = 0\) and \(\sigma_\varepsilon = \sigma_y\)).
We start by constructing an uniform grid \[ z \in \mathcal{Z} = \{z_1, z_2, \ldots, z_{N_z}\}, \] with step size \(\Delta = \frac{z_{N_z} - z_1}{N_z - 1}\).
A convenient choice for the endpoints is \[ z_1 = \mu - m\,\frac{\sigma_z}{\sqrt{1 - \rho_z^2}}, \qquad z_{N_z} = \mu + m\,\frac{\sigma_z}{\sqrt{1 - \rho_z^2}}, \] where \(m\) is typically set to \(3\), ensuring that the grid spans \(\pm3\) unconditional standard deviations of \(z_t\).
We need to determine the transition probabilities \(P_{ij} = \Pr(z_{t+1} = z_j \mid z_t = z_i)\).
The transition probability \(P_{ij}\) equals the probability that \(z_{t+1}\) falls between the midpoints surrounding \(z_j\):
\[\scriptsize P_{ij} = \begin{cases} \Phi\!\left(\dfrac{z_j - \mu_i + \tfrac{\Delta}{2}}{\sigma_\varepsilon}\right), & j = 1, \\[0.75em] \Phi\!\left(\dfrac{z_j - \mu_i + \tfrac{\Delta}{2}}{\sigma_\varepsilon}\right) - \Phi\!\left(\dfrac{z_j - \mu_i - \tfrac{\Delta}{2}}{\sigma_\varepsilon}\right), & 1 < j < N_z, \\[0.75em] 1 - \Phi\!\left(\dfrac{z_j - \mu_i - \tfrac{\Delta}{2}}{\sigma_\varepsilon}\right), & j = N_z, \end{cases} \]

"""
Tauchen (1986) discretization of the AR(1) process
z_{t+1} = μ + ρ z_t + ε_{t+1}, ε ~ N(0, σϵ^2).
"""
function tauchen(M::Int, ρ::Real, σϵ::Real; μ::Real=0.0, m::Real=3.0)
@assert M ≥ 2 "Need at least M=2 grid points."
@assert abs(ρ) < 1 "Require |ρ|<1 for stationary AR(1)."
σz = σϵ / sqrt(1 - ρ^2) # unconditional std. dev.
z̄ = μ / (1 - ρ) # unconditional mean
if σϵ == 0.0 return (; z = [z̄], P = [1.0]) end # degenerate case
zmin, zmax = z̄ - m*σz, z̄ + m*σz
Δ = (zmax - zmin) / (M - 1)
z = collect(range(zmin, zmax, length=M))
P = zeros(Float64, M, M)
for i in 1:M
mean_next = μ + ρ*z[i]
dist = Normal(mean_next, σϵ)
# First bin: (−∞, midpoint_1]
P[i, 1] = cdf(dist, z[1] + Δ/2)
# Interior bins: (midpoint_{j-1}, midpoint_j]
for j in 2:M-1
upper = z[j] + Δ/2
lower = z[j] - Δ/2
P[i, j] = cdf(dist, upper) - cdf(dist, lower)
end
# Last bin: (midpoint_{N-1}, +∞)
P[i, M] = 1 - cdf(dist, z[M] - Δ/2)
end
return (;z, P)
end;The third issue we must address is how to perform the maximization step efficiently.
A direct approach is to specify a grid for the control variable \(c \in \mathcal{C} = \{c_1, c_2, \ldots, c_{N_c}\}\)
The optimal consumption is given by \(c_t(M) = \arg\max_{c} V_t(M, c)\).
This brute-force approach can be computationally expensive
\[ \color{#0072b2}{\underbrace{u'(c_t(M)) = e^{-\rho} R \sum_{j=1}^{N_y} P_j\, V_{t-1}'\!\left(R (M - c_t(M)) + Y'_j\right)}_{\text{first-order condition}}} , \qquad \qquad \color{#d55e00}{\underbrace{V_{t}'(M) = u'(c_{t}(M))}_{\text{envelope condition}}} \]
Combining the two conditions, we obtain the consumption Euler equation: \[ u'(c_t(M)) = e^{-\rho} R \sum_{j=1}^{N_y} P_j\, u'\!\left(c_{t-1}\!\left(R (M - c_t(M)) + Y'_j\right)\right). \]
To obtain \(c_t(M)\), we need to solve a nonlinear equation for each \(M\).
Carroll (2006) proposed the endogenous gridpoint method (EGM) that avoids the root-finding step:
We have seen how to represent the value function, compute expectations, and perform the maximization step.
Base.@kwdef struct ConsumptionSavingsDT
γ::Float64 = 2.0 # CRRA coefficient
ρ::Float64 = 0.05 # discount rate
A::Float64 = 1.00 # terminal value function parameter
R::Float64 = exp(ρ) # interest rate
σ::Float64 = 0.25 # standard deviation of log income
Z::NamedTuple = tauchen(9, 0.0, σ) # income process
Y::Vector{Float64} = exp.(Z.z) # income levels
N::Int64 = 11 # number of grid points
α::Float64 = 0.0 # grid spacing parameter
Mgrid::Vector{Float64} = make_grid(0.0, 2.5, N; α = α)
agrid::Vector{Float64} = make_grid(0.0, 1.0, N; α = α)
endThe struct stores the parameters and grids for the model.
Risk aversion in model 1: 2.0 | Discount rate in model 1: 0.05
Risk aversion in model 2: 1.5 | Discount rate in model 2: 0.05
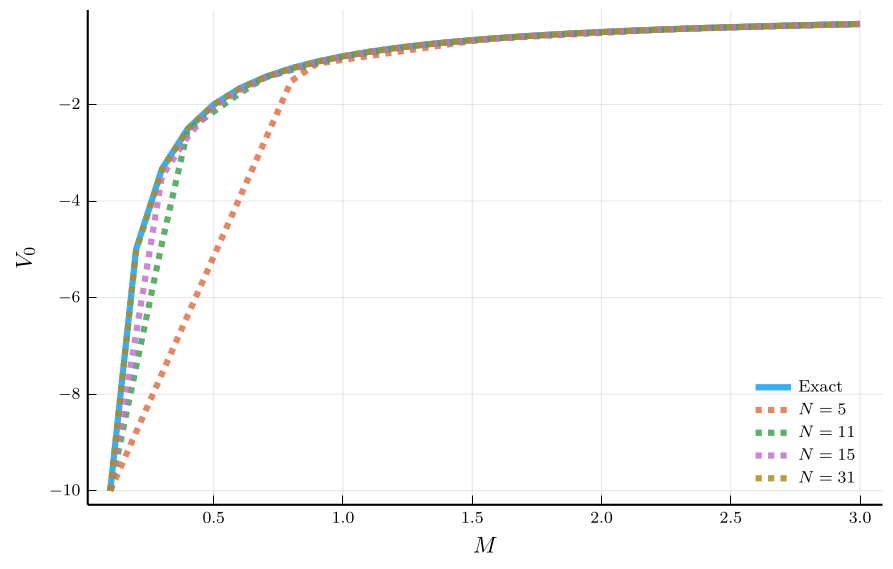
We now solve for \(V_1(M)\) and \(c_1(M)\), given the terminal condition \(V_0(M) = \frac{M^{1-\gamma}}{1-\gamma}\).
We need to specify the admissible consumption set.
function vf_iteration(m::ConsumptionSavingsDT, V0::Function; NM::Int64 = 11, Nc::Int64 = 101)
(; Y, Z, R, γ, ρ) = m # unpack model parameters
Mgrid = collect(range(-Y[1]/R, 3.0, length=NM)) # grid for M
cgrid = [range(0.0, m + Y[1]/R, length=Nc) for m in Mgrid] # collection of grids for c
# Action-value function
V1(M, c) = c^(1-γ)/(1-γ) + exp(-ρ) * sum(Z.P[1,j] * V0(m,R * (M-c) + Y[j]+1e-12) for j in eachindex(Y))
# Policy and value functions
C = [cgrid[j][argmax([V1(Mgrid[j], c) for c in cgrid[j]])] for j in eachindex(Mgrid)]
V = [V1(Mgrid[j], C[j]) for j in eachindex(Mgrid)]
return (; C, V, Mgrid) # return a named tuple
endTwo theoretical bounds for the policy function:
Lower bound: household receives the lowest income with certainty.
Upper bound: household receives the average income with certainty.

a) Policy functions

b) Value functions
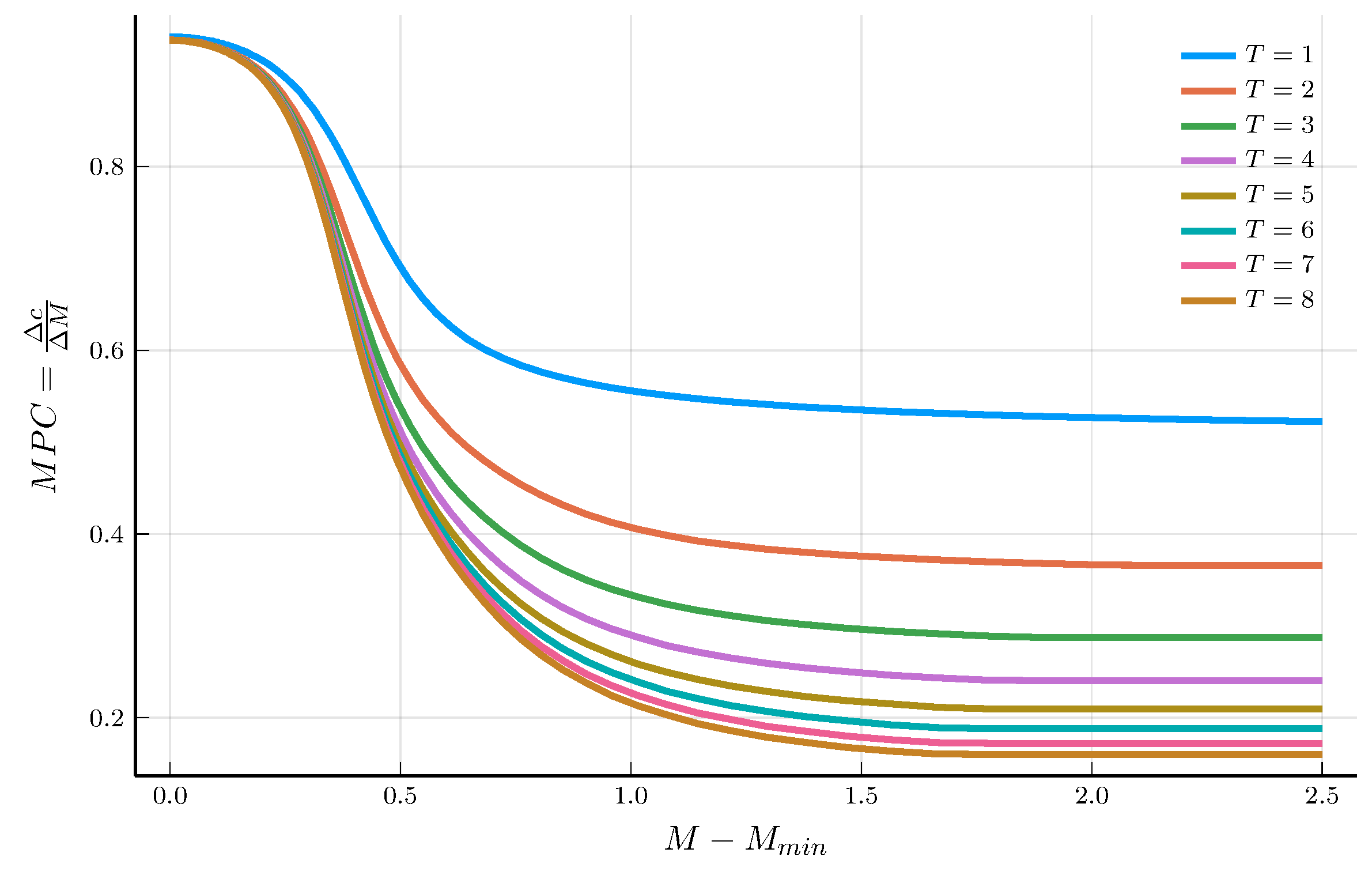
Given the policy function \(c_t(M)\), we can obtain the marginal propensity to consume (MPC).
Carroll and Kimball (1996) show that the MPC is decreasing in \(M\).

a) MPCs for \(N_M = 11\)

b) MPCs for \(N_M = 101\)
We now solve for the value and policy functions using the endogenous gridpoint method (EGM).
This approaches approximates the policy function directly, rather than the value function.
We focus on the case the household can borrow up to the natural borrowing limit.
The limit varies with the horizon: \(a_T(M) \geq \underline{a}_T\): \[ \underline{a}_T = -\sum_{t=1}^{T} \frac{Y_{\min}}{R^t}. \]
We work with the transformed grid: \[ \tilde{a}_t(M) = a_t(M) - \underline{a}_t, \]
function egm_step(m::ConsumptionSavingsDT, iter::Int, c0::Function)
(; agrid, Z, Y, R, γ, ρ) = m # unpack model parameters
agrid_shifted = -Y[1] * sum(R.^(-(1:iter))) .+ agrid
# compute the consumption policy
c1 = [sum(exp(-ρ) * Z.P[1,j] * R * c0(R * a + Y[j]+1e-12)^(-γ)
for j in eachindex(Y))^(-1/γ) for a in agrid_shifted]
M1 = agrid_shifted .+ c1 # compute the cash-on-hand
return (; c = linear_interpolation(M1, c1;
extrapolation_bc=Line()), M = M1)
endWe iterate the EGM step until the policy function converges.
We can compute the marginal propensity to consume (MPC) using the finite-difference method.

a) Policy function

b) Marginal propensity to consume
The methods discussed in this module are the backbone of modern computational economics.
1) The curse of representation
2) The curse of optimization
3) The curse of expectation
The techniques discussed in this module suffer from the three curses of dimensionality.
We will rely on a combination of two main ingredients:
Before jumping into machine learning, we discuss next continuous-time methods.