(300.0, 300.0)
Module 05: The Deep Policy Iteration Method
EDHEC Business School
Purdue University
January 2026
In this module, we use machine-learning tools to solve high-dimensional problems in continuous time.
We proceed in two steps.
The module is organized as follows:
Consider a continuous-time optimal control problem in which an infinitely lived agent faces a Markovian decision process (MDP).
The agent’s objective is to maximize the expected discounted value of the reward function \(u(\mathbf{c}_t)\): \[ V(\mathbf{s}) = \max_{\{\mathbf{c}_t\}_{t=0}^\infty} \mathbb{E}\left[ \left. \int_{0}^\infty e^{-\rho t} u(\mathbf{c}_t) dt \right| \mathbf{s}_0 = \mathbf{s} \right], \] subject to the stochastic law of motion \[ d\mathbf{s}_t = \mathbf{f}(\mathbf{s}_t, \mathbf{c}_t) dt + \mathbf{g}(\mathbf{s}_t, \mathbf{c}_t) d\mathbf{B}_t. \] where \(\mathbf{B}_t\) is an \(m \times 1\) vector of Brownian motions, \(\mathbf{f}(\mathbf{s}_t, \mathbf{c}_t) \in \mathbb{R}^n\) is the drift, and \(\mathbf{g}(\mathbf{s}_t, \mathbf{c}_t) \in \mathbb{R}^{n\times m}\) is the diffusion matrix.
The HJB Equation.
The value function \(V(\mathbf{s})\) satisfies the Hamilton–Jacobi–Bellman (HJB) equation: \[ 0 = \max_{\mathbf{c}\in\Gamma(\mathbf{s})} u(\mathbf{c}) - \rho V(\mathbf{s}) + \nabla_{\mathbf{s}} V(\mathbf{s}) \cdot \mathbf{f}(\mathbf{s},\mathbf{c}) + \tfrac{1}{2} \operatorname{Tr}(\mathbf{g}(\mathbf{s},\mathbf{c}) \mathbf{H}_{\mathbf{s}} V(\mathbf{s}) \mathbf{g}(\mathbf{s},\mathbf{c})), \] where \(\nabla_{\mathbf{s}} V(\mathbf{s})\) and \(\mathbf{H}_{\mathbf{s}} V(\mathbf{s})\) denote, respectively, the gradient and Hessian of the value function.
As discussed in Module 1, dynamic programming methods face three intertwined computational obstacles:
1st curse
Representing \(V(\mathbf{s})\)
2nd curse
Solving for \(\mathbf{c}\) given \(V(\mathbf{s})\)
3rd curse
Computing \(\mathbb{E}[V(\mathbf{s}')]\)
In this module, we present an algorithm that addresses each of these curses using modern machine-learning tools:
In discrete time, the Bellman equation involves the expectation of the continuation value: \[ \mathbb{E}[V(\mathbf{s}')] = \int \!\!\cdots\!\! \int V(\mathbf{s} + \mathbf{f}(\mathbf{s},\mathbf{c}) \Delta t + \mathbf{g}(\mathbf{s},\mathbf{c}) \sqrt{\Delta t} \mathbf{Z}) \phi(\mathbf{Z}) d\mathbf{Z}_1 \cdots d\mathbf{Z}_m, \] where \(\phi(\mathbf{Z})\) is the joint density of the shocks.
In continuous time, the expected change in the value function can be written as \[ \mathbb{E}[d V(\mathbf{s})] = \nabla_{\mathbf{s}} V(\mathbf{s}) \cdot \mathbf{f}(\mathbf{s},\mathbf{c}) + \tfrac{1}{2} \operatorname{Tr}(\mathbf{g}(\mathbf{s},\mathbf{c}) \mathbf{H}_{\mathbf{s}} V(\mathbf{s}) \mathbf{g}(\mathbf{s},\mathbf{c})), \]
Hence, instead of computing high-dimensional integrals, we only need to compute derivatives of the value function.
Computational challenge.
One could use finite differences to compute these derivatives
Suppose \(n=10\) and we use a grid of 100 points for each state variable.
To illustrate the computational challenge, we study a simple example.
Consider the following function: \[ V(\mathbf{s}) = \sum_{i=1}^n s_i^2, \] where \(\mathbf{s} = (s_1, \ldots, s_n)\) is a vector of state variables.
A high-dimensional problem with \(n=100\) state variables
We consider initially the following methods to compute the drift \(\mathbb{E}[d V(\mathbf{s})]\):
Comparing the Computational Costs.
| Method | FLOPs | Memory | Error |
|---|---|---|---|
| 1. Finite differences | 9,190,800 | 112,442,048 | 1.58% |
| 2. Naive autodiff | 2,100,501 | 25,673,640 | 0.00% |
Even the naive autodiff method is computationally costly and memory intensive.
One of the key insights from Module 4 is that the Jacobian–vector product (JVP) can be efficiently computed.
In the absence of shocks, computing the drift of \(V(\mathbf{s})\) amounts to evaluating a JVP:
\[ \mathbb{E}[d V(\mathbf{s})] = \nabla_{\mathbf{s}} V(\mathbf{s})^\top \mathbf{f}(\mathbf{s},\mathbf{c}) dt, \] which can be efficiently computed using forward-mode AD.
In the presence of shocks, the drift also depends on quadratic forms involving the Hessian of \(V(\mathbf{s})\).
The Hyper-dual approach to Itô’s lemma extends the idea of dual numbers to compute the drift of \(V(\mathbf{s})\).
The next result formalizes the hyper-dual approach to Itô’s lemma.
Hyper-dual Itô’s lemma
For a given \(\mathbf{s}\), define the auxiliary functions \(F_i:\mathbb{R}\rightarrow\mathbb{R}\) as \[ F_i(\epsilon;\mathbf{s}) = V\!\left(\mathbf{s} + \tfrac{\mathbf{g}_i(\mathbf{s})}{\sqrt{2}}\,\epsilon + \tfrac{\mathbf{f}(\mathbf{s})}{2m}\,\epsilon^2 \right), \] where \(\mathbf{f}(\mathbf{s})\) is the drift of \(\mathbf{s}\) and \(\mathbf{g}_i(\mathbf{s})\) is the \(i\)-th column of the diffusion matrix \(\mathbf{g}(\mathbf{s})\).
Then:
Diffusion: The \(1\times m\) diffusion matrix of \(V(\mathbf{s})\) is \[ \nabla V(\mathbf{s})^{\top}\mathbf{g}(\mathbf{s}) = \sqrt{2}\,[F_1'(0;\mathbf{s}), F_2'(0;\mathbf{s}), \ldots, F_m'(0;\mathbf{s})]. \]
Drift: The drift of \(V(\mathbf{s})\) is \[ \mathcal{D}V(\mathbf{s}) = F''(0;\mathbf{s}), \qquad \text{where} \quad F(\epsilon;\mathbf{s}) = \sum_{i=1}^m F_i(\epsilon;\mathbf{s}) \]
An implication of the hyper-dual approach is that the computational complexity is \[ \mathcal{O}(m \times \text{cost}(V(\mathbf{s}))), \] which is independent of the number of state variables.
It is straightforward to implement the hyper-dual approach to Itô’s lemma in Julia.
using ForwardDiff, LinearAlgebra
V(s) = sum(s.^2) # example function
n, m = 100, 1 # number of state variables and shocks
s0, f, g = ones(n), ones(n), ones(n,m) # example values
# Analytical drift
∇f, H = 2*s0, Matrix(2.0*I, n,n) # gradient and Hessian
drift_analytical = ∇f'*f + 0.5*tr(g'*H*g) # analytical drift
# Hyper-dual approach
F(ϵ) = sum([V(s0 + g[:,i]*ϵ/sqrt(2) + f/(2m)*ϵ^2) for i = 1:m])
drift_hyperdual = ForwardDiff.derivative(ϵ -> ForwardDiff.derivative(F, ϵ), 0.0) # scalar 2nd derivativeThis figure shows how the cost of computing the drift of a function \(V\) scales with the number of state variables and Brownian shocks.


Notes: Cost is measured as the execution time of \(\frac{\mathbb{E}dV}{dt}(\mathbf{s})\) relative to that of \(V(\mathbf{s})\). The left panel fixes \(m=1\) and varies \(n\) from 1 to 100; the right panel fixes \(n=100\) and varies \(m\) from 1 to 100. In this example, \(V\) is a two-layer neural network, and execution times are averaged over 10,000 runs on a mini-batch of 512 states.
We benchmark the performance of the hyper-dual approach to Itô’s lemma by comparing the execution time of alternative methods.
The hyper-dual Itô’s lemma method is faster and less memory-intensive than using the analytical expression for the derivatives.
| Method | FLOPs | Memory | Error |
|---|---|---|---|
| 1. Finite differences | 9,190,800 | 112,442,048 | 1.58% |
| 2. Naive autodiff | 2,100,501 | 25,673,640 | 0.00% |
| 3. Analytical | 20,501 | 44,428 | 0.00% |
| 4. Hyper-dual Itô | 599 | 6,044 | 0.00% |
Our objective is to compute the value function \(V(\mathbf{s})\) and policy function \(\mathbf{c}(\mathbf{s})\) satisfying the coupled functional equations: \[ 0 = \operatorname{HJB}(\mathbf{s}, \mathbf{c}(\mathbf{s}), V(\mathbf{s})), \qquad \mathbf{c}(\mathbf{s}) = \arg \max_{\mathbf{c}\in\Gamma(\mathbf{s})} \operatorname{HJB}(\mathbf{s},\mathbf{c},V(\mathbf{s})), \] where \[ \operatorname{HJB}(\mathbf{s},\mathbf{c},V) = u(\mathbf{c}) - \rho V + \nabla_{\mathbf{s}} V(\mathbf{s}) \cdot \mathbf{f}(\mathbf{s},\mathbf{c}) + \tfrac{1}{2} \operatorname{Tr}(\mathbf{g}(\mathbf{s},\mathbf{c}) \mathbf{H}_{\mathbf{s}} V(\mathbf{s}) \mathbf{g}(\mathbf{s},\mathbf{c})), \] and \(\mathbf{f}(\mathbf{s},\mathbf{c})\) is the drift of \(\mathbf{s}\) and \(\mathbf{g}(\mathbf{s},\mathbf{c})\) is the diffusion matrix.
To solve for \(V(\mathbf{s})\) and \(\mathbf{c}(\mathbf{s})\) numerically, we must represent them on a computer.
A traditional approach is to discretize the state space and interpolate between grid points.
In Module 4, we showed that such grid-based approximations can be viewed as shallow neural networks with fixed breakpoints.
Neural networks generalize this idea
We now turn to the challenge of training the DNNs to satisfy the functional equations above.
Our approach builds on generalized policy iteration (see, e.g., Sutton and Barto (2018))
Combining with deep function approximation, alternating between policy evaluation and policy improvement.
This leads to the Deep Policy Iteration (DPI) algorithm.
The algorithm proceeds in three stages:
Simplifying assumptions.
For clarity, we make several simplifying assumptions that can be relaxed in practice.
We begin by sampling a mini-batch of states \(\{\mathbf{s}_i\}_{i=1}^I\) from the state space.
The policy improvement step involves solving the maximization step for each state in the mini-batch.
Generalized policy iteration.
In Module 3, we introduced the policy function iteration, which alternates between policy evaluation and policy improvement steps.
However, when the initial guess for \(V\) is far from optimal, fully solving the maximization problem at each iteration is inefficient.
Fix the current parameter vectors for the value and policy functions, \(\mathbf{\theta}_V^{j-1}\) and \(\mathbf{\theta}_C^{j-1}\).
Our goal is to choose the policy function to maximize (or minimize minus) the value of the HJB operator
We perform one step of gradient descent on the loss function to update the policy function parameters:
Policy improvement step.
\[\begin{equation}\label{eq:policy_improvement_step} \mathbf{\theta}_C^{j} = \mathbf{\theta}_C^{j-1} + \eta_C \frac{1}{I}\sum_{i=1}^I \nabla_{\mathbf{\theta}_C} \operatorname{HJB}(\mathbf{s}_i, \mathbf{\theta}_C^{j-1}, \mathbf{\theta}_V^{j-1}), \end{equation}\]
where \(\eta_C\) is the learning rate controlling the step size in parameter space.
We now update the value function given the new policy parameters, \(\mathbf{\theta}_C^{j}\).
The first rule mirrors the explicit method for finite-differences in Module 3.
\[ \frac{V(\mathbf{s}; \mathbf{\theta}_V^{j}) - V(\mathbf{s}_i; \mathbf{\theta}_V^{j-1})}{\Delta t} = \operatorname{HJB}(\mathbf{s}_i, \mathbf{\theta}_C^{j}, \mathbf{\theta}_V^{j-1}) \qquad \Rightarrow \qquad V(\mathbf{s}; \mathbf{\theta}_V^{j}) = \underbrace{V(\mathbf{s}_i; \mathbf{\theta}_V^{j-1}) + \operatorname{HJB}(\mathbf{s}_i, \mathbf{\theta}_C^{j}, \mathbf{\theta}_V^{j-1}) \Delta t}_{\text{target value } \hat{V}_i^{j-1}}, \] where the HJB is evaluated at the new policy parameters, \(\mathbf{\theta}_C^{j}\), but old value function parameters, \(\mathbf{\theta}_V^{j-1}\).
This turns the problem into a supervised learning task given the training data \(\{\mathbf{s}_i, \hat{V}_i^{j-1}\}_{i=1}^I\).
Define the loss function as the mean-squared error between the target value and the value function: \[ \mathcal{L}(\mathbf{\theta}_V) = \frac{1}{2I}\sum_{i=1}^I (V(\mathbf{s}_i; \mathbf{\theta}_V) - \hat{V}_i^{j-1})^2, \]
Evaluating the gradient at \(\mathbf{\theta}_V^{j-1}\) yields \[ \nabla_{\mathbf{\theta}_V} \mathcal{L}(\mathbf{\theta}_V^{j-1}) = -\frac{\Delta t}{I}\sum_{i=1}^I \operatorname{HJB}(\mathbf{s}_i, \mathbf{\theta}_C^{j}, \mathbf{\theta}_V^{j-1}) \nabla_{\mathbf{\theta}_V} V(\mathbf{s}_i; \mathbf{\theta}_V), \]
Taking one step of gradient descent, the corresponding update rule is:
Policy evaluation step.
\[ \mathbf{\theta}_V^{j} = \mathbf{\theta}_V^{j-1} + \eta_V \frac{\Delta t}{I}\sum_{i=1}^I \operatorname{HJB}(\mathbf{s}_i, \mathbf{\theta}_C^{j}, \mathbf{\theta}_V^{j-1}) \nabla_{\mathbf{\theta}_V} V(\mathbf{s}_i; \mathbf{\theta}_V^{j-1}), \]
where \(\eta_V\) is the learning rate.
The second rule mirrors the implicit method for finite-differences in Module 3: \[ \frac{V(\mathbf{s}; \mathbf{\theta}_V^{j}) - V(\mathbf{s}_i; \mathbf{\theta}_V^{j-1})}{\Delta t} = \operatorname{HJB}(\mathbf{s}_i, \mathbf{\theta}_C^{j}, \mathbf{\theta}_V^{j}), \] As in the implicit finite-difference method, we can take the limit as \(\Delta t \to \infty\).
In this case, the loss function becomes MSE of HJB residuals: \[ \mathcal{L}(\mathbf{\theta}_V) = \frac{1}{2I}\sum_{i=1}^I \operatorname{HJB}(\mathbf{s}_i, \mathbf{\theta}_C^{j}, \mathbf{\theta}_V)^2, \]
The gradient is given by \[ \nabla_{\mathbf{\theta}_V} \mathcal{L}(\mathbf{\theta}_V) = \frac{1}{I}\sum_{i=1}^I \operatorname{HJB}(\mathbf{s}_i, \mathbf{\theta}_C^{j}, \mathbf{\theta}_V) \nabla_{\mathbf{\theta}_V} \operatorname{HJB}(\mathbf{s}_i, \mathbf{\theta}_C^{j}, \mathbf{\theta}_V), \]
Evaluating at \(\mathbf{\theta}_V^{j-1}\) yields
Policy evaluation step 2.
\[ \mathbf{\theta}_V^{j} = \mathbf{\theta}_V^{j-1} - \eta_V \frac{1}{I}\sum_{i=1}^I \operatorname{HJB}(\mathbf{s}_i, \mathbf{\theta}_C^{j}, \mathbf{\theta}_V^{j-1}) \nabla_{\mathbf{\theta}_V} \operatorname{HJB}(\mathbf{s}_i, \mathbf{\theta}_C^{j}, \mathbf{\theta}_V^{j-1}), \]
where \(\eta_V\) is the learning rate.
We can now summarize the complete algorithm:
Algorithm: Deep Policy Iteration (DPI)
Input: Initial parameters \(\mathbf{\theta}_V^{0}\) and \(\mathbf{\theta}_C^{0}\)
Output: Value function \(V(\mathbf{s}; \mathbf{\theta}_V)\), policy function \(\mathbf{c}(\mathbf{s}; \mathbf{\theta}_C)\)
Initialize: \(j \gets 0\)
Repeat for \(j = 1, 2, \ldots\):
Sampling:
Sample a mini-batch of states \(\{\mathbf{s}_i\}_{i=1}^I\).
Policy improvement (actor update):
Update \(\mathbf{\theta}_C\) with one step of gradient descent on the loss function.
Policy evaluation (critic update):
Update \(\mathbf{\theta}_V\) using the explicit or implicit policy evaluation step.
The trade-off between the two update rules.
Minimizing the Bellman residual directly is known to be more stable but it is often slower than iterative policy evaluation.
Next, we apply the DPI algorithm to solve a variety of economic and financial problems.
To start, we consider the familiar two-trees model from Module 3.
The pricing condition for a log investor implies \[ v_t = \mathbb{E}_t \left[ \int_{0}^{\infty} e^{-\rho s} s_{t+s}\,ds \right], \] where the relative share process \(s_t\) evolves as \[ d s_t = - 2 \sigma^2 s_t(1-s_t)\!\left(s_t - \tfrac12\right) dt + \sigma s_t(1-s_t)(dB_{1,t} - dB_{2,t}). \]
The price-consumption ratio \(v_t\) satisfies the HJB equation: \[ \rho v = s - v_s \, 2\sigma^2 s(1-s)\!\left(s-\tfrac12\right) + \frac{1}{2} v_{ss}\,\big(2\sigma^2 s^2(1-s)^2\big), \] with boundary conditions \(v(0) = 0\) and \(v(1) = 1/\rho\).
It is straightforward to solve this one-dimensional problem using finite differences or collocation methods
We now implement the two-trees model in Julia, starting with the model struct.
TwoTrees(0.04, 0.2, 0.02, var"#6#10"{Float64}(0.2), var"#7#11"{Float64}(0.2))
We next implement the hyper-dual approach to Ito’s lemma to compute the drift and diffusion of the state variable \(s\).
To validate the implementation, we can compare the analytical and hyper-dual drifts:
using Random
rng = Xoshiro(0)
s = rand(rng, 1, 1000)
# Exact drift for test function
V_test(s) = sum(s.^2, dims = 1)
drifts_exact = map(1:size(s, 2)) do i
∇V, H = 2 * s[:,i], 2 * Matrix(I,length(s[:,i]),length(s[:,i]))
∇V' * m.μₛ(s[:,i]) + 0.5 * tr(m.σₛ(s[:,i])' * H * m.σₛ(s[:,i]))
end'
drifts_hyper = drift_hyper(V_test, s, m)
errors = maximum(abs.(drifts_exact - drifts_hyper))1.734723475976807e-18
We now implement the neural network representation of the value function.
Chain(
layer_1 = Dense(1 => 25, gelu_tanh), # 50 parameters
layer_2 = Dense(25 => 25, gelu_tanh), # 650 parameters
layer_3 = Dense(20 => 1), # 21 parameters
) # Total: 721 parameters,
# plus 0 states.
We initialize the parameters and optimizer state using the Adam optimizer with a learning rate of \(10^{-3}\).
(layer_1 = (weight = Leaf(Adam(eta=0.001, beta=(0.9, 0.999), epsilon=1.0e-8), ([0.0; 0.0; … ; 0.0; 0.0;;], [0.0; 0.0; … ; 0.0; 0.0;;], (0.9, 0.999))), bias = Leaf(Adam(eta=0.001, beta=(0.9, 0.999), epsilon=1.0e-8), ([0.0, 0.0, 0.0, 0.0, 0.0, 0.0, 0.0, 0.0, 0.0, 0.0 … 0.0, 0.0, 0.0, 0.0, 0.0, 0.0, 0.0, 0.0, 0.0, 0.0], [0.0, 0.0, 0.0, 0.0, 0.0, 0.0, 0.0, 0.0, 0.0, 0.0 … 0.0, 0.0, 0.0, 0.0, 0.0, 0.0, 0.0, 0.0, 0.0, 0.0], (0.9, 0.999)))), layer_2 = (weight = Leaf(Adam(eta=0.001, beta=(0.9, 0.999), epsilon=1.0e-8), ([0.0 0.0 … 0.0 0.0; 0.0 0.0 … 0.0 0.0; … ; 0.0 0.0 … 0.0 0.0; 0.0 0.0 … 0.0 0.0], [0.0 0.0 … 0.0 0.0; 0.0 0.0 … 0.0 0.0; … ; 0.0 0.0 … 0.0 0.0; 0.0 0.0 … 0.0 0.0], (0.9, 0.999))), bias = Leaf(Adam(eta=0.001, beta=(0.9, 0.999), epsilon=1.0e-8), ([0.0, 0.0, 0.0, 0.0, 0.0, 0.0, 0.0, 0.0, 0.0, 0.0 … 0.0, 0.0, 0.0, 0.0, 0.0, 0.0, 0.0, 0.0, 0.0, 0.0], [0.0, 0.0, 0.0, 0.0, 0.0, 0.0, 0.0, 0.0, 0.0, 0.0 … 0.0, 0.0, 0.0, 0.0, 0.0, 0.0, 0.0, 0.0, 0.0, 0.0], (0.9, 0.999)))), layer_3 = (weight = Leaf(Adam(eta=0.001, beta=(0.9, 0.999), epsilon=1.0e-8), ([0.0 0.0 … 0.0 0.0], [0.0 0.0 … 0.0 0.0], (0.9, 0.999))), bias = Leaf(Adam(eta=0.001, beta=(0.9, 0.999), epsilon=1.0e-8), ([0.0], [0.0], (0.9, 0.999)))))
We define the loss function as the mean-squared error between the value function and the target value.
We now train the neural network using the Adam optimizer.
# Training loop
loss_history = Float64[]
for i = 1:40_000
s_batch = rand(rng, 1, 128)
tgt = target(s-> model(s, ps, ls)[1], s_batch, m, Δt = 1.0)
loss = loss_fn(ps, ls, s_batch, tgt)
grad = gradient(p -> loss_fn(p, ls, s_batch, tgt), ps)[1]
os, ps = Optimisers.update(os,ps, grad)
push!(loss_history, loss)
end
Training loss over iterations.

DPI prediction vs. analytical solution.
We now extend the two-trees model to a multi-tree economy, known as the Lucas orchard model (see, e.g., Martin (2013)).
Consider a representative investor with log utility who can invest in a riskless asset and \(N\) risky assets.
The HJB equation.
Define the vector of state variables \(\mathbf{s}_t = (s_{1,t}, \ldots, s_{N,t})^{\!\top}\), where \(s_{i,t} \equiv D_{i,t}/C_t\) and \(C_t = \sum_{i=1}^N D_{i,t}\).
We now implement the Lucas orchard model in Julia.
As usual, we start by defining the model struct.
@kwdef struct LucasOrchard
ρ::Float64 = 0.04
N::Int = 10
σ::Vector{Float64} = sqrt(0.04) * ones(N)
μ::Vector{Float64} = 0.02 * ones(N)
μc::Function = s -> μ' * s
σc::Function = s -> [s[i,:]' * σ[i] for i in 1:N]
μₛ::Function = s -> s .* (μ .- μc(s)- s.*σ.^2 .+ sum(σc(s)[i].^2 for i in 1:N))
σₛ::Function = s -> [s .* ([j == i ? σ[i] : 0 for j in 1:N] .- σc(s)[i]) for i in 1:N]
end;10×1000 Matrix{Float64}:
4.24309e-5 0.000237275 0.000815818 … 8.57681e-5 -0.00169363
-0.000259516 0.000134325 0.000132953 0.000550971 0.000463926
0.000193812 0.000154873 0.000418759 0.000564647 5.89399e-5
0.000118302 0.00023403 -0.00379805 2.65856e-5 0.000710309
0.000187861 0.000109689 0.000126233 0.000119859 -0.00071501
-2.52101e-6 4.92026e-5 0.000566168 … 0.00054645 0.000122228
0.000199586 4.887e-6 7.50461e-5 0.000573028 0.000189173
2.76043e-5 -0.000877846 0.000535931 0.000335935 0.00040788
-0.000704084 -9.64787e-5 0.000686905 -0.00331773 0.000103212
0.000196524 5.00425e-5 0.000440236 0.00051449 0.000352971
We next implement the hyper-dual approach to Ito’s lemma to compute the drift and diffusion of the state variable \(s\).
The implementation is virtually identical to that for the two-trees model.
The importance of preallocations.
Relative to the two-trees model, we now preallocate arrays for the drift and diffusion of the state variable \(s\),
We next implement the neural network representation of the value function.
Chain(
layer_1 = Dense(10 => 25, gelu_tanh), # 275 parameters
layer_2 = Dense(25 => 25, gelu_tanh), # 650 parameters
layer_3 = Dense(25 => 1), # 26 parameters
) # Total: 951 parameters,
# plus 0 states.
We initialize the parameters and optimizer state using the Adam optimizer with a learning rate of \(10^{-3}\).
(layer_1 = (weight = Leaf(Adam(eta=0.001, beta=(0.9, 0.999), epsilon=1.0e-8), ([0.0 0.0 … 0.0 0.0; 0.0 0.0 … 0.0 0.0; … ; 0.0 0.0 … 0.0 0.0; 0.0 0.0 … 0.0 0.0], [0.0 0.0 … 0.0 0.0; 0.0 0.0 … 0.0 0.0; … ; 0.0 0.0 … 0.0 0.0; 0.0 0.0 … 0.0 0.0], (0.9, 0.999))), bias = Leaf(Adam(eta=0.001, beta=(0.9, 0.999), epsilon=1.0e-8), ([0.0, 0.0, 0.0, 0.0, 0.0, 0.0, 0.0, 0.0, 0.0, 0.0 … 0.0, 0.0, 0.0, 0.0, 0.0, 0.0, 0.0, 0.0, 0.0, 0.0], [0.0, 0.0, 0.0, 0.0, 0.0, 0.0, 0.0, 0.0, 0.0, 0.0 … 0.0, 0.0, 0.0, 0.0, 0.0, 0.0, 0.0, 0.0, 0.0, 0.0], (0.9, 0.999)))), layer_2 = (weight = Leaf(Adam(eta=0.001, beta=(0.9, 0.999), epsilon=1.0e-8), ([0.0 0.0 … 0.0 0.0; 0.0 0.0 … 0.0 0.0; … ; 0.0 0.0 … 0.0 0.0; 0.0 0.0 … 0.0 0.0], [0.0 0.0 … 0.0 0.0; 0.0 0.0 … 0.0 0.0; … ; 0.0 0.0 … 0.0 0.0; 0.0 0.0 … 0.0 0.0], (0.9, 0.999))), bias = Leaf(Adam(eta=0.001, beta=(0.9, 0.999), epsilon=1.0e-8), ([0.0, 0.0, 0.0, 0.0, 0.0, 0.0, 0.0, 0.0, 0.0, 0.0 … 0.0, 0.0, 0.0, 0.0, 0.0, 0.0, 0.0, 0.0, 0.0, 0.0], [0.0, 0.0, 0.0, 0.0, 0.0, 0.0, 0.0, 0.0, 0.0, 0.0 … 0.0, 0.0, 0.0, 0.0, 0.0, 0.0, 0.0, 0.0, 0.0, 0.0], (0.9, 0.999)))), layer_3 = (weight = Leaf(Adam(eta=0.001, beta=(0.9, 0.999), epsilon=1.0e-8), ([0.0 0.0 … 0.0 0.0], [0.0 0.0 … 0.0 0.0], (0.9, 0.999))), bias = Leaf(Adam(eta=0.001, beta=(0.9, 0.999), epsilon=1.0e-8), ([0.0], [0.0], (0.9, 0.999)))))
# Training parameters
max_iter, Δt = 40_000, 1.0
# Sampling interior and boundary states
d_int = Dirichlet(ones(m.N)) # Interior region
d_edge = Dirichlet(0.05 .* ones(m.N)) # Boundary region
# Loss history and exponential moving average loss
loss_history, loss_ema_history, α_ema = Float64[], Float64[], 0.99
# Training loop
p = Progress(max_iter; desc="Training...", dt=1.0) #progress bar
for i = 1:max_iter
if rand(rng) < 0.50
s_batch = rand(rng, d_int, 128)
else
s_batch = rand(rng, d_edge, 128)
end
v(s) = model(s, ps, ls)[1] # define value function
tgt, hjb_res = target(v, s_batch, m, Δt = Δt) #target/residual
loss, back = Zygote.pullback(p -> loss_fn(p,ls,s_batch,tgt), ps)
grad = first(back(1.0)) # gradient
os, ps = Optimisers.update(os,ps, grad) # update parameters
loss_ema = i==1 ? loss : α_ema*loss_ema + (1.0-α_ema)*loss
push!(loss_history, loss)
push!(loss_ema_history, loss_ema)
next!(p, showvalues = [(:iter, i),("Loss", loss),
("Loss EMA", loss_ema), ("HJB residual", hjb_res)])
endWe sample from two Dirichlet distributions:

Training loss.
We next evaluate the model’s performance on out-of-sample test sets.

Two-trees prediction.
We consider an extremely asymmetric configuration:
The network’s prediction replicates the analytical solution.
Our second test set draws states from a symmetric Dirichlet distribution with parameters \(\boldsymbol{\alpha} = \alpha_{\text{scale}} (1, 1, \ldots, 1)\)

Dirichlet densities.

Orchard residuals.
We next compare the DPI algorithm with other methods for solving high-dimensional dynamic models.
Finite-difference schemes become computationally infeasible beyond a few dimensions
We then compare the time to solution of the DPI algorithm with the Smolyak method (Smolyak (1963)).
Notes: Figure shows the time-to-solution of the DPI algorithm, measured by the number of minutes required for the MSE or 90th-percentile squared error to fall below \(10^{-8}\). The parameter values are \(\rho = 0.04\), \(\gamma = 1\), \(\varrho = 0.0\), \(\mu = 0.015\), and \(\sigma = 0.1\). The HJB residuals are computed on a random sample of \(2^{13}\) points from the state space.
Notes: Figure compares the time-to-solution of the DPI method and the Smolyak methods of orders 2, 3, and 4. The tolerance is set to \(10^{-3}\), the highest accuracy threshold reached by all Smolyak variants. The parameter values are \(\rho = 0.04\), \(\gamma = 1\), \(\varrho = 0.0\), \(\mu = 0.015\), and \(\sigma = 0.1\). The HJB residuals are computed on a random sample of \(2^{13}\) points from the state space.
We now apply the DPI algorithm to a corporate finance problem, a simplified version of the model in Hennessy and Whited (2007).
Consider a firm with operating profits \(\pi(k_t, z_t) = e^{z_t} k_t^\alpha\).
Log productivity follows an Ornstein–Uhlenbeck process: \[ d z_t = -\theta (z_t - \bar{z})\,dt + \sigma\,dB_t, \] where \(\theta, \sigma > 0\).
Given investment rate \(i_t\) and depreciation rate \(\delta\), capital evolves as \[ d k_t = (i_t - \delta)\,k_t\,dt. \]
The firm faces linear equity issuance costs \(\lambda > 0\).
Operating profits net of adjustment costs are \[ D^*(k_t, z_t, i_t) = e^{z_t} k_t^\alpha - \left(i_t + 0.5 \chi i_t^2 \right) k_t, \] where \(\chi > 0\) is the adjustment cost parameter.
The firm’s dividend policy is given by \[ D_t = D_t^* (1 + \lambda \mathbf{1}_{D_t^* < 0}). \]
The firm chooses the investment rate \(i_t\) to maximize the expected discounted value of future dividends: \[ v(\mathbf{s}_0) = \max_{\{i_t\}_{t\ge 0}} \mathbb{E}\left[ \int_{0}^{\infty} e^{-\rho s} D(k_s, z_s, i_s)\,ds \right], \] subject to the law of motion for the state vector \(\mathbf{s}_t = (k_t, z_t)^{\!\top}\).
The HJB equation is given by \[ 0 = \max_{i}\, \operatorname{HJB}(\mathbf{s}, i, v(\mathbf{s})), \] where \[ \operatorname{HJB}(\mathbf{s}, i, v) = D(k, z, i) + \nabla v^\top \mathbf{\mu}_{s}(\mathbf{s}, i) + \tfrac{1}{2}\,\mathbf{\sigma}_{s}(\mathbf{s}, i)^\top \mathbf{H}_{\mathbf{s}} v\, \mathbf{\sigma}_{s}(\mathbf{s}, i) - \rho v. \]
The first-order condition for the optimal investment rate is \[ \frac{\partial \operatorname{HJB}}{\partial i} = -\big(1 + \lambda\,\mathbf{1}_{D^*(k,z,i)<0}\big)\big[1 + \chi i \big]k + v_k(\mathbf{s})k = 0. \]
Consider a special case where there investment is fixed at \(i = \delta\) and productivity is constant \(\theta = \sigma = 0\).
\[ v(k, z) = \frac{D(k, z, \delta)}{\rho} = \begin{cases} \frac{e^{z} k^\alpha - \delta k}{\rho}, & \text{if } k \leq k_{\max}(z), \\[5pt] \frac{e^{z} k^\alpha - \delta k}{\rho} (1+\lambda), & \text{if } k > k_{\max}(z), \end{cases} \] where \(k_{\max}(z) = \left(\tfrac{e^{z}}{\delta}\right)^{\!\frac{1}{1-\alpha}}\).
We start by defining the model struct.
@kwdef struct HennessyWhited
α::Float64 = 0.55
θ::Float64 = 0.26
z̅::Float64 = 0.0
σz::Float64 = 0.123
δ::Float64 = 0.1
χ::Float64 = 0.1
λ::Float64 = 0.059
ρ::Float64 = -log(0.96)
μₛ::Function = (s,i) -> vcat((i .- δ) .* s[1,:]', -θ .* (s[2,:] .- z̅)')
σₛ::Function = (s,i) -> vcat(zeros(1,size(s,2)), σz*ones(1,size(s,2)))
end;The HJB is particularly simple in this case.
We use a simple feedforward network with two hidden layers.
To enforce the boundary condition, we multiply the network by a function of \(k\) that vanishes at zero.
We initialize the parameters, optimizer, and training parameters.
loss_history_special_case = Float64[];
for it in 1:max_iter
s_batch = vcat(rand(rng, dk, 150)', rand(rng, dz, 150)')
lossᵥ, backᵥ = Zygote.pullback(p -> loss_v_special_case(m, s_batch, p), θᵥ)
gradᵥ = first(backᵥ(1.0))
osᵥ, θᵥ = Optimisers.update(osᵥ, θᵥ, gradᵥ)
push!(loss_history_special_case, lossᵥ)
if lossᵥ < 1e-6
println("Iteration ", it, "| Loss_v = ", lossᵥ)
break
end
end
Loss history

Value function
Consider the case where there are no equity issuance costs, i.e., \(\lambda = 0\).
In addition to a neural network for the value function, we will also use a neural network for the optimal investment policy.
We will use the implicit version of policy evaluation:
\[ \mathbf{\theta}_V^{j} = \mathbf{\theta}_V^{j-1} - \eta_V \frac{1}{I}\sum_{i=1}^I HJB(\mathbf{s}_i, \mathbf{\theta}_C^{j}, \mathbf{\theta}_V^{j-1}) \nabla_{\mathbf{\theta}_V} HJB(\mathbf{s}_i, \mathbf{\theta}_C^{j}, \mathbf{\theta}_V^{j-1}), \]
The term \(\nabla_{\mathbf{\theta}_V} HJB(\mathbf{s}_i, \mathbf{\theta}_C^{j}, \mathbf{\theta}_V^{j-1})\) depends on the gradient and Hessian of the value function.
Hence, this requires computing a third-order derivative of the value function.
This type of mixed-mode automatic differentiation is not supported by many AD systems.
To overcome this challenge, we will use the hyper-dual approach to Itô’s lemma.
This requires computing a second derivative of a univariate function.
We will compute this second derivative using finite-differences.
First, we define a function that computes the second derivative of the value function using finite-differences.
function second_derivative_FD(F::Function, h::Float64; stencil::Symbol = :three)
if stencil == :nine
return (-9.0 .* F(-4h) .+ 128.0 .* F(-3h) .- 1008.0 .* F(-2h) .+ 8064.0 .* F(-h) .- 14350.0 .* F(0.0) .+ 8064.0 .* F(h) .- 1008.0 .* F(2h) .+ 128.0 .* F(3h) .- 9.0 .* F(4h)) ./ (5040.0 * h^2)
elseif stencil == :seven
return (2.0 .* F(-3h) .- 27.0 .* F(-2h) .+ 270.0 .* F(-h) .- 490.0 .* F(0.0) .+ 270.0 .* F(h) .- 27.0 .* F(2h) .+ 2.0 .* F(3h)) ./ (180.0 * h^2)
elseif stencil == :five
return (-F(2h) .+ 16.0 .* F(h) .- 30.0 .* F(0.0) .+ 16.0 .* F(-h) .- F(-2h)) ./ (12.0 * h^2)
else
return (F(h) - 2.0 * F(0.0) + F(-h)) / (h*h) # Three point stencil
end
endGiven this function, we can define the HJB residual.
function hjb_residual(m, s, θᵥ, θᵢ; h = 5e-2, stencil::Symbol = :three)
(; α, λ, ρ, δ, χ) = m
k, z = s[1,:]', s[2,:]'
i = i_net(s, θᵢ)
D_star = exp.(z) .* k.^α - (i + 0.5*χ*i.^2).*k
D = D_star .* (1 .+ λ * (D_star .< 0))
μk = (i .- δ) .* k
μz = -θ .* (z .- z̅)
μₛ = vcat(μk, μz)
σₛ = vcat(zeros(1, size(s,2)), σz*ones(1, size(s,2)))
F(ϵ) = v_net(s .+ σₛ .* (ϵ / sqrt(2.0)) .+ μₛ * (ϵ^2 / 2.0), θᵥ)
drift = second_derivative_FD(F, h, stencil = stencil)
hjb = D + drift - m.ρ * v_net(s, θᵥ)
return hjb
endFirst, we define the loss functions for the value function
Next, we define the loss function for the optimal investment policy.
We can now define the training loop.
loss_history_v = Float64[];
loss_history_i = Float64[];
nsteps_v, nsteps_i = 10, 1
for it in 1:max_iter
s_batch = vcat(rand(rng, dk, 150)', rand(rng, dz, 150)')
lossᵥ, lossᵢ = zero(Float64), zero(Float64)
# Policy evaluation step
for _ = 1:nsteps_v
lossᵥ, backᵥ = Zygote.pullback(p -> loss_v(m, s_batch, p, θᵢ), θᵥ)
gradᵥ = first(backᵥ(1.0))
osᵥ, θᵥ = Optimisers.update(osᵥ, θᵥ, gradᵥ)
end
# Policy improvement step
for _ = 1:nsteps_i
lossᵢ, backᵢ = Zygote.pullback(p -> loss_i(m, s_batch, θᵥ, p), θᵢ)
gradᵢ = first(backᵢ(1.0))
osᵢ, θᵢ = Optimisers.update(osᵢ, θᵢ, gradᵢ)
end
# Compute loss
lossᵥ = loss_v(m, s_batch, θᵥ, θᵢ)
lossᵢ = loss_i(m, s_batch, θᵥ, θᵢ)
push!(loss_history_v, lossᵥ)
push!(loss_history_i, lossᵢ)
if max(lossᵥ, abs(lossᵢ)) < 1e-6
println("Iteration ", it, "| Loss_v = ", lossᵥ, "| Loss_i = ", lossᵢ)
break
end
end
Loss history

Value function
We consider next the optimal dividend policy and investment rate for the full model with \(\lambda > 0\).

Dividends

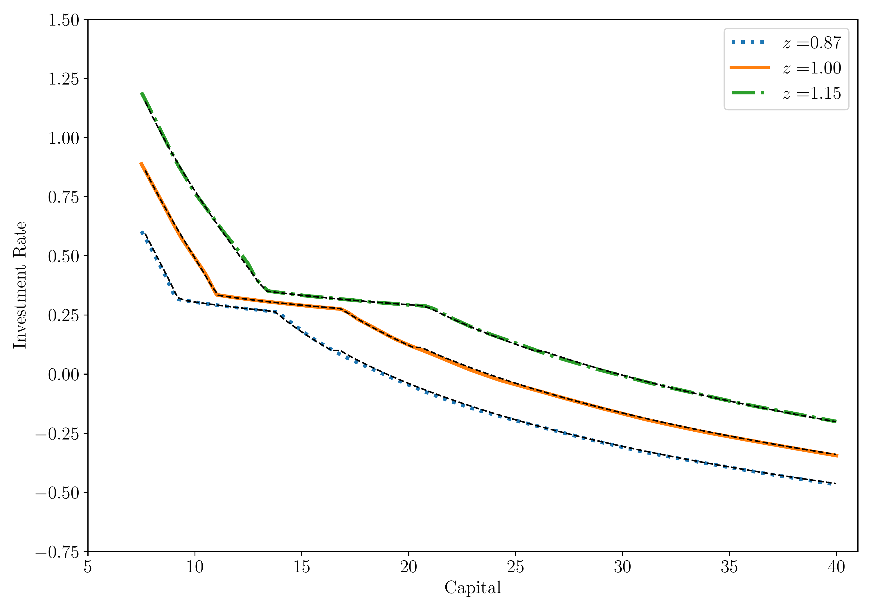
Investment Rate
This problem has only two state variables, so it can be easily solved using finite differences
In particular, we are interested in knowing which equilibrium moments are more sensitive to parameters
Performing such global sensitivity analysis can be computationally very costly
As our third application, we consider a portfolio choice problem with realistic dynamics
We consider the problem of an investor with Epstein-Zin preferences
Volatility is constant and expected returns are affine functions of the state \(\mathbf{x}_t \in \mathbb{R}^n\)
To ensure absence of arbitrage, expected returns are derived from a state-price density (SPD)
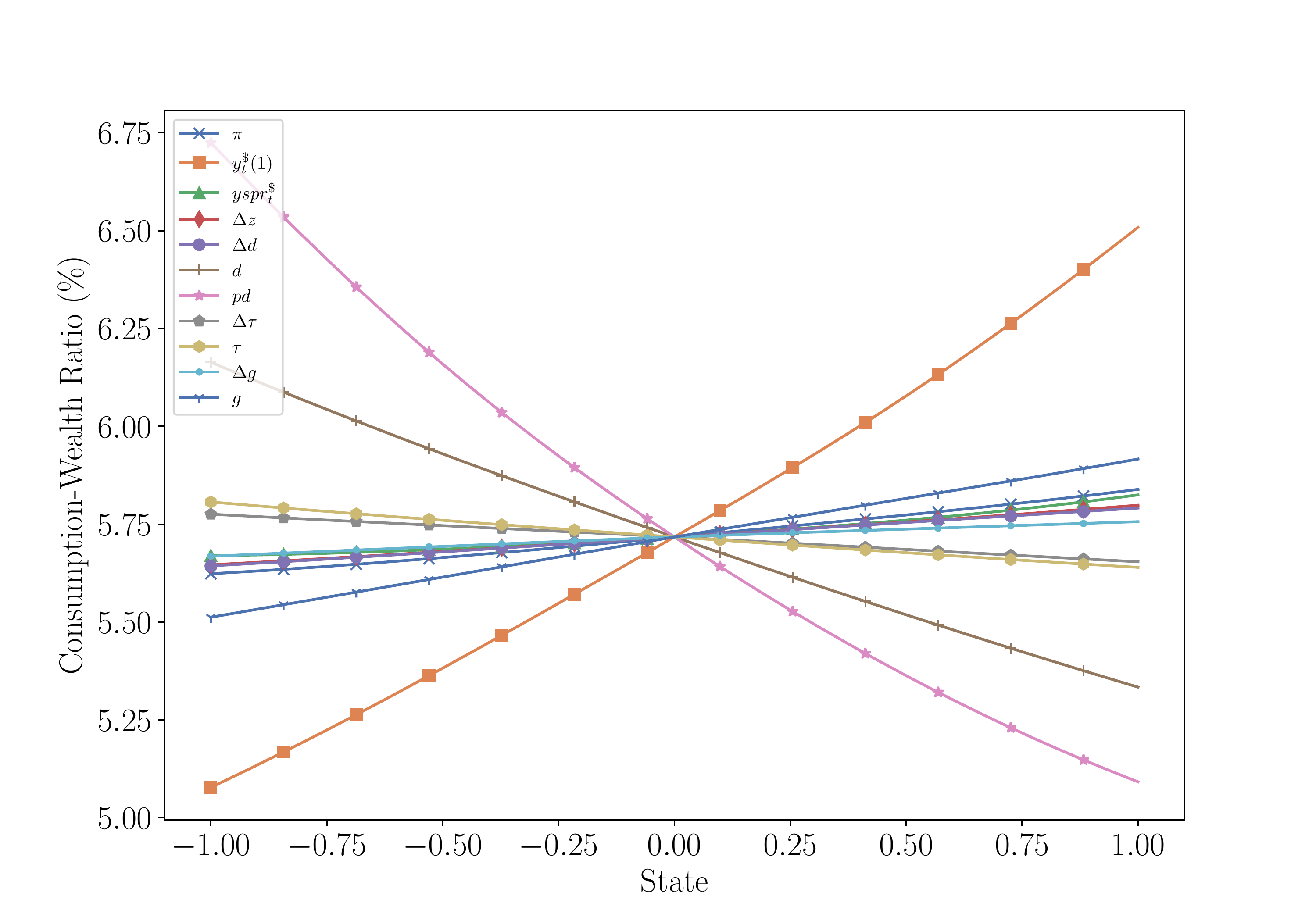
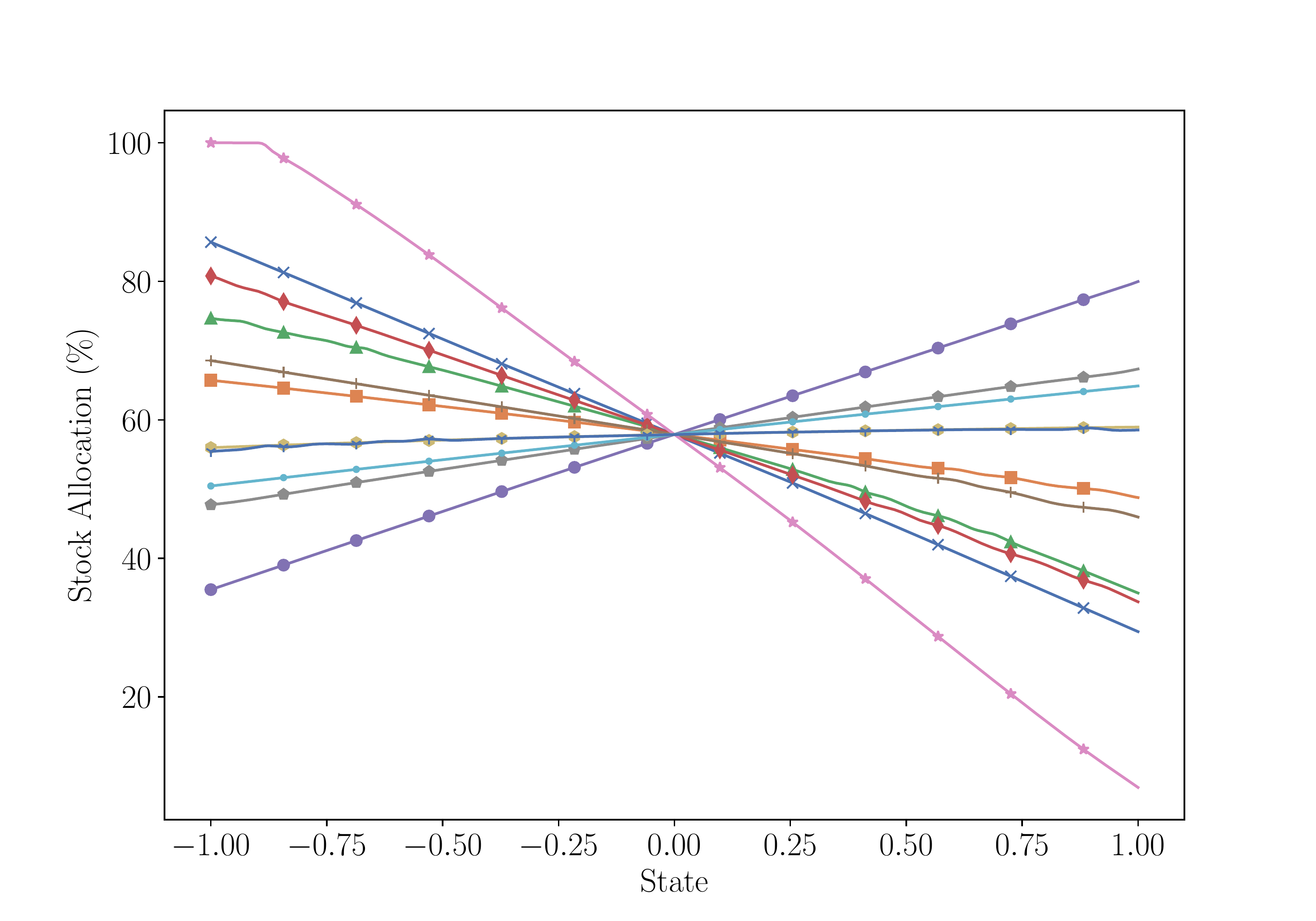
List of State Variables Driving the Expected Returns of Assets
| Variable | Description | Mean | S.D. (%) |
|---|---|---|---|
| \(\pi_t\) | Log Inflation | 0.032 | 2.3 |
| \(y_t^{\$}(1)\) | Log 1-Year Nominal Yield | 0.043 | 3.1 |
| \(yspr_t^{\$}\) | Log 5-Year Minus 1-Year Nominal Yield Spread | 0.006 | 0.7 |
| \(\Delta z_t\) | Log Real GDP Growth | 0.030 | 2.4 |
| \(\Delta d_t\) | Log Stock Dividend-to-GDP Growth | -0.002 | 6.3 |
| \(d_t\) | Log Stock Dividend-to-GDP Level | -0.270 | 30.5 |
| \(pd_t\) | Log Stock Price-to-Dividend Ratio | 3.537 | 42.6 |
| \(\Delta\tau_t\) | Log Tax Revenue-to-GDP Growth | 0.000 | 5 |
| \(\tau_t\) | Log Tax Revenue-to-GDP Level | -1.739 | 6.5 |
| \(\Delta g_t\) | Log Spending-to-GDP Growth | 0.006 | 7.6 |
| \(g_t\) | Log Spending-to-GDP Level | -1.749 | 12.9 |
Notes: The table shows the list of 11 state variables driving expected returns in our economy, along with their mean and standard deviation. The data are collected from https://www.publicdebtvaluation.com/data. See Jiang et al. (2024) for more details.
State dynamics estimation
State-price density estimation

Expected Returns

Asset Allocation

Consumption-Wealth Ratio

Stock

Nominal Long-Term Bond

Real Long-Term Bond
In this lecture, we learned methods that alleviate the three curses of dimensionality
The DPI algorithm allows us to solve high-dimensional problems
Ability to solve rich problems can be an invaluable tool in economic analysis